试题详情

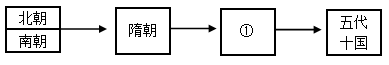
(2018·北京市·6)与以下示意图中①相关的史实是(  )

A.北魏改革,民族交融 B.定都建康,开发江南 C.开凿运河,创立科举 D.贞观之治,开元盛世

相似题

换一批

1.

(2019·山东泰安·3)有位历史老师是个对联迷.他写了许多有关中国历史上著名的帝王对联,下列哪一对联是描写唐太宗的(  )
A.开明君主吸隋训,贞观之治创唐荣 B.武周政治得发展,无字之碑任后评
C.调整政策呈开元,沉淫清色误王国 D.陈桥兵变成君主,黄抱加身显威风

2.

(2015·湖南益阳·2)益阳市中小学已普遍开设经典诵读课,经典诵读已成为学生学习传统文化,弘扬传统美德的重要方式。 忆昔开元全盛日,小邑犹藏万家室。稻米流脂粟米白,公私仓廪俱丰实。九州道路无豺虎,远行不劳吉日出。 大诗人杜甫的这首经典诗称颂的是(  )
A.开元盛世 B.光武中兴 C.康乾盛世 D.贞观之治

3.

(2013·广东卷·5)诗歌在一定程度上反映了社会生活。下列诗句中,能反映唐玄宗统治前期盛世景象的是(  )
A.海内存知己,天涯若比邻。 B.生当作人杰,死亦为鬼雄。
C.忆昔开元全盛日,小邑犹藏万家室。 D.大江东去,浪淘尽,千古风流人物。