组卷系统
你好
请登录
|
注册
|
返回主站
我的组卷
在线测评
智能阅卷
我的收藏
错题本
纠错 | 建议
2019年贵州省黔南州中考历史一模试卷
适用年级:九年级
试卷类型:中考模拟
适用省份:贵州省
试卷年份:2019年
题数:25
浏览数:814
下载本试卷
全部加入试卷
一、选择题
1.
我国是农业大国,农耕作为最基本的经济形式,支撑着中国古代的社会生产和生活。下列作物中,是我国最早开始培植的有( )
①棉花 ②粟 ③水稻 ④玉米
A.①②③④
B.②③④
C.③④
D.②③
答案详解
加入试题篮
收藏
纠错
2.
夏、商、周三代是中华文明的第一个高峰时期,为后代文明的发展奠定了基础。下列对这一时期文明成就的表述,正确的是( )
A.夏朝是中国历史上第一个封建王朝
B.西周的地方管理制度是郡县制
C.青铜器主要包括用于祭祀的礼器和农具
D.商朝出现了体系较为完整的甲骨文
答案详解
加入试题篮
收藏
纠错
3.
春秋战国时期各家学派众说纷纭,思想界出现了
“
百家争鸣
”
的活跃局面,下列观点中符合孟子思想主张的是( )
A.无为而治
B.人之初,性本善
C.民贵君轻
D.兼爱非攻
答案详解
加入试题篮
收藏
纠错
4.
“
六合之内,皇帝之土人迹所至,无不臣者
”
。我国历史上第一位皇帝,其统治措施不包括( )
A.统一文字
B.创立皇帝制度
C.焚书坑儒
D.设立县、省地方行政区划
答案详解
加入试题篮
收藏
纠错
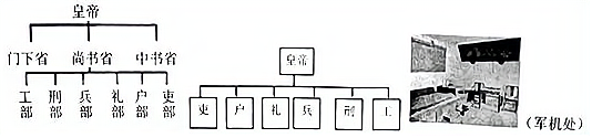
5.
下列图示反映出的历史发展趋势是( )
A.地方权力加强
B.社会秩序动荡
C.中央集权弱化
D.皇权不断强化
答案详解
加入试题篮
收藏
纠错
6.
纸的出现是人类书写材料的一次革命,它极大地促进了文化的传播.下列人物中与纸的发明、改进直接相关的是( )
A.屈原
B.张衡
C.蔡伦
D.郦道元
答案详解
加入试题篮
收藏
纠错
7.
每年的5月31日是世界禁烟日,在中国近代史上,有位民族英雄毅然下令在虎门海滩当众销毁鸦片,他是( )
A.琦善
B.李鸿章
C.林则徐
D.关天培
答案详解
加入试题篮
收藏
纠错
8.
“
这场运动在中国近代史上建立起与清政府对峙的政权,前后持续14年之久,达到了中国旧时农民战争的最高峰。
”
该运动是( )
A.洋务运动
B.五四运动
C.义和团
D.太平天国
答案详解
加入试题篮
收藏
纠错
9.
以下为1913—1920年中国民族工业发展情况表。出现表中数据变化的主要原因是( )
年份
厂家
资本
工人
1913
年
689
家
33
亿元
27
万多人
1920
年
1795
家
50
亿元
55
万多人
A.外商企业的资金和技术支持
B.清政府放宽民间办厂的限制
C.西方列强暂时放松经济侵略
D.中国民族资本主义实力雄厚
答案详解
加入试题篮
收藏
纠错
10.
1927年,一声枪响掀开了中国共产党领导武装斗争的大幕,开启了创建人民军队的新时期。中国共产党走上了一条依靠自己的力量来完成民族独立和人民解放的道路。与上述材料相关的历史事件是( )
A.南昌起义
B.汀泗桥战役
C.百团大战
D.辽沈战役
答案详解
加入试题篮
收藏
纠错
11.
下图所对应的历史事件
“
开辟了中国历史新纪元
”
,下列对
“
新纪元的理解正确的是( )
A.彻底摧毁了我国存在两千多年的封建土地制度
B.成为中华民族由衰败到振兴的转折点
C.结束了中国百年来任人宰割的屈辱历史
D.标志着我国开始进入社会主义初级阶段
答案详解
加入试题篮
收藏
纠错
12.
1949年,中国共产党提出在少数民族聚居的地区,实行民族的区域自治的建议;1952年,《中华人民共和国民族区域自治纲要》公布实施;1954年,《纲要》的内容被载入《中华人民共和国宪法》。这一过程反映出( )
A.各地区的少数民族基本实现自治
B.少数民族地区跨入到了社会主义社会
C.民族区域自治成为一项基本国策
D.民族区域自治是我国根本的政治制度
答案详解
加入试题篮
收藏
纠错
13.
从1957年开始,中华人民共和国政府先后向苏联、朝鲜、美国、英国、法国等九个国家赠予大熊猫,被称为
“
熊猫外交
”
。该材料反映了( )
A.体现了我国独立自主的和平外交政策
B.有利于中国重塑外交策略
C.说明发达国家是中国外交的重点
D.体现了新时期不结盟原则
答案详解
加入试题篮
收藏
纠错
14.
2019年是澳门回归20周年纪念。作为特别行政区之一,港澳特别行政区与内地的经济特区相比,最主要的区别是( )
A.与中央政府关系不同
B.各自权限不同
C.生产力发展水平不同
D.社会制度不同
答案详解
加入试题篮
收藏
纠错
15.
佛教、基督教、伊斯兰教并称为世界三大宗教。下列图片与三大宗教有关的是( )
A.①②③
B.①②④
C.②③④
D.①③④
答案详解
加入试题篮
收藏
纠错
16.
1700年至1850年英国煤产量迅速增加,从1700年的260万吨增至1850年的4900万吨,与之有关的发明有哪些?( )
①蒸汽机的改进与应用 ②轮船的发明 ③火车的发明 ④汽车的发明
A.①②③
B.②③④
C.①②④
D.①③④
答案详解
加入试题篮
收藏
纠错
17.
“
在世界历史上,还没有任何一个国家如此全面而细致地规划过自己的发展进程,这是苏联人的一个创造。在那个时代,所有生产、运输、销售都由国家计划安排。
”
这一描述反映了苏联实行的是( )
A.战时共产主义政策
B.新经济政策
C.市场经济体制
D.斯大林模式
答案详解
加入试题篮
收藏
纠错
18.
1930年某日,美国一白领在家中吃早餐时打开了当天的报纸,报纸上出现的新闻最有可能的是( )
A.政府无限量免费供应牛奶面包
B.美国社会像一潭死水一样平静
C.找工作比买彩票中奖还要难
D.为共渡难关各国变得像亲兄弟一样
答案详解
加入试题篮
收藏
纠错
19.
某历史公众号准备推送一期专题亚非拉国家民族独立和振兴。下列各项可以放进专题资源包的是( )
①论文:《民族认同与德国的重新統一》 ②图片:《纳米比亚独立》 ③地图:《巴拿马收回运河主权的斗争》 ④视频:《苏联的改革》
A.①③
B.③④
C.②③
D.②④
答案详解
加入试题篮
收藏
纠错
20.
十九大报告指出,世界正处于大发展大变革大调整时期,贫富分化日益严重,地区热点问题此起彼伏,恐怖主义、网络安全、重大传染性疾病、气候变化等非传统安全威胁持续蔓延。对此应有的认识是( )
①人类面临着许多挑战 ②当今世界并不太平 ③挑战与变革是当今时代的两大主题 ④应充分发挥联合国等国际组织的作用
A.①②③
B.②③④
C.①②④
D.①②③④
答案详解
加入试题篮
收藏
纠错
二、填空题
21.
(10分)20世纪初,社会主义由理想变为了现实,突破了资本主义国家对世界的统治,为殖民地半殖民地国家的民族解放运动送来了曙光。请根据提示完成下列填空。
(1)1848年,科学社会主义诞生的标志。_____________
(2)世界上第一次无产阶级政权的尝试。_____________
(3)人类历史上第一次胜利的社会主义革命。_____________
(4)中国新民主主义革命的开端。 ___________
(5)中国革命的面目焕然一新。_____________
(6)中国共产党从幼稚走向成熟的标志。______________
(7)中华民族取得了近代以来反对帝国主义侵略的第一次完全胜利依靠的战线。__________
(8)中国成为社会主义性质的国家。______________
(9)标志着建国以来的伟大历史转折。______________
(10)1992年中共十四大提出的目标。_____________
答案详解
加入试题篮
收藏
纠错
三、材料题
22.
阅读材料后作答:(7分)
材料一
(我们)谨庄严地宣布并昭告:这些联合殖民地从此成为、而且名正言顺地应当成为自由独立的合众国,它们解除对于英王的一切隶属关系,而它们与大不列颠王国之间的一切政治联系也应从此完全废止。
材料二
(1)材料一的背景应是哪一场革命?应出自于哪一文献?这场革命的性质是什么?有河历史意义?
(2)跟材料二有关的文件是?请结合所学知识和材料二,概述美国三权分立的特点。
答案详解
加入试题篮
收藏
纠错
23.
阅读后作答:(6分)
坚持把解决好
“
三农
”
问题作为全党工作重中之重,坚持农业农村优先发展,按照产业兴旺、生态宜居、乡风文明、治理有效、生活富裕的总要求,建立健全城乡融合发展体制机制和政策体系,统筹推进农村经济建设、政治建设、文化建设、社会建设、生态文明建设和党的建设,加快推进农业农村现代化,走中国特色社会主义乡村振兴道路,让农业成为有奔头的产业,让农民成为有吸引力的职业,让农村成为安居乐业的美丽家园。
请回答:
(1)结合所学知识,在古代中国长期占据主导地位的经济形式是什么?存在了两千多年的封建土地制度终结于哪一历史事件?有何意义?
(2)我国开始全面建设社会主义以来,在农业方面的建设有成功也有失误,请你各举出一个事例。结合所学和材料,你认为在建设
“
三农
”
问题时,应注意些什么?
答案详解
加入试题篮
收藏
纠错
四、综合题
24.
阅读后作答:(6分)
2013年9月7日,国家主席习近平在哈萨克斯坦纳扎尔巴耶夫大学发表题为《弘扬人民友谊共创美好未来》的重要演讲,提出了建设
“
一带一路
”
的战略构想。历史上的丝绸之路主要是商品互通有无,今天的
“
一带一路
”
,是在古代丝绸之路概念基础上形成的一个新的经济发展区域,涉及贸易、金融、投资、能源、科技、交通和基础设施建设等10多个领域。地理上包括欧亚大陆和太平洋、印度洋沿岸的65个国家和地区。
“
一带一路
”
秉持开放包容精神,继承了古丝绸之路开放传统,东边牵着亚太经济圈,西边系着发达的欧洲经济圈,被认为是
“
世界上最长、最具有发展潜力的经济大走廊
”
。
请回答:
(1)结合所学知识,什么是
“
一带一路
”
?结合材料,
“
一带一路
”
有何特点?
(2)曾两次出使西域,对古代丝绸之路的开辟作出重大贡献的历史人物是?结合所学知识,分析我国
“
一带一路
”
战略提出的条件是什么?
答案详解
加入试题篮
收藏
纠错
25.
阅读后回答:(6分)
材料一
科学不仅刷新了我们的世界图景,也刷新了我们的日常生活…然而,在科学成功的背后,我们必须看到一个潜在的危险正在显露出来。
材料二
日本是一个善于学习的国家。二战后,日本大量引进世界先进技术,主要手段是购买技术专利和图纸,在短期内集中了其他国家长期以来开发的成就,然后结合本国特点进行改造提高……日本政府长期坚持
“
教育先行
”
战略,重视人才培养。教育经费1950年为1599亿日元,1972年增至40244亿日元,占当年政府预算的20%。
请回答:
(1)请结合材料一和所学知识,任选第三次科技革命中的一项发明,有何利弊。
(2)中国现在正处于全面建成小康社会的攻坚阶段,根据材料二和所学知识,你认为可以从日本的发展历程上借鉴哪些经验?
答案详解
加入试题篮
收藏
纠错