2022-2023学年度河北省张家口市桥西区七年级上学期期末考试历史试卷

适用年级:七年级 试卷类型:期末考试 适用省份:河北省 试卷年份:2025年 题数:29 浏览数:157

一、选择题

1.

山顶洞人遗址下层墓地发现三具遗骨,骨架周围有赤铁矿粉和赤铁矿石;红色的赤铁矿象征着鲜血,是生命的来源和灵魂的寄生处。在死者的周围撒赤铁矿粉,祈求给死者以新的生命,显然是原始灵魂不灭观念的反映。该考古发现说明山顶洞人(  )

A.已有宗教意识B.具有爱美意识C.手工技艺高超D.过着集体生活

2.

下图是河姆渡遗址出土的猪纹陶钵,通过这件文物我们能推断出这件文物出土于(  )

A.黄河流域B.长江流域C.珠江流域D.辽河流域

3.

人类粮食和祖先崇拜,是中华文明不可须臾或缺的三个根本内容。下列选项中,与 祖先崇拜 直接相关的是(  )

A.元谋人牙齿化石B.粟和装粟的陶C.人面鱼网纹盆D.陕西黄陵轩辕庙

4.

中国历史上第一个奴隶制国家是(  )

A.夏朝B.商朝C.西周D.秦朝

5.

公元前1046年,周武王联合各地势力,组成庞大的政治联盟,与商军在牧野决战。在战前武王出兵伐犬戎,后又讨伐邻国密须,解除了伐商的后顾之忧;战争中周军占领商都,商朝灭亡。可见武王在牧野之战中胜利的主要原因是(  )

A.商纣王军队数量稀少B.周武王励精图治策略得当C.周武王组织了政治联盟D.商军战斗力软弱不堪一击

6.

据史书记载,春秋242年间有43名君主被臣下或敌国所杀,52个诸侯国被灭,有大小战事480多起,诸侯的朝聘和盟会450余次。据此可知,春秋时期的社会局面是(  )

A.统一B.安定C.动荡D.繁荣

7.

有人曾经说 商鞅相孝公,为秦开帝业 。这一评价旨在说明(  )

A.商鞅变法成效巨大B.孝公确立皇帝制度C.春秋时期诸侯称霸D.战国时期大国争雄

8.

在探究 百家争鸣 影响时,七年级某学习小组制作了下表。表中内容反映出百家争鸣(  )

百家争鸣

社会主义核心价值观

儒家

仁、义、礼、智、信;民为邦本

富强、民主、文明、和谐、自由、平等、公正、法治、爱国、敬业、诚信、友善

墨家

兼爱,爱无等级差别

法家

尚法,强调依法治国

A.推动战国经济发展B.泽被后世影响深远C.阻碍儒家一统天下D.二者内容完全趋同

9.

受地转偏向力影响,北半球从北往南运动的物体会向右偏移,都江堰的主体工程体现了这一原理,并借助地势和弯道来排沙和泄洪。由此可见,都江堰(  )

A.同时具备防洪和灌溉的功能B.是世界最早的大型水利工程C.体现了中国先民高超的智慧D.完全借助于地势因素而建造

10.

秦王 初并天下,自以为德兼三皇,功过五帝,乃更号曰 皇帝 ”。其主要目的是(  )

A.沿袭历史传统B.开创一代帝号C.加强思想控制D.宣扬个人功业

11.

收天下兵,聚之咸阳,销以为鐻锯,金人十二,重各千石,置廷宫中。一法度、衡石、丈尺。车同轨,书同文字 。这一记载表明秦朝(  )

A.巩固了统一B.天下已安定C.实行暴政D.疯狂掠夺

12.

下图选自某书的部分章节目录,据此判断,该材料反映的历史人物是(  )

第二章   西楚霸王   勇武有力

第三章   巨鹿之战   破釜沉舟

第四章   乌江自刎   政归刘邦

A.陈胜B.吴广C.项羽D.刘邦

13.

汉武帝时,将京畿以外地区分为十三州部,设刺史,每年定期巡视所部郡国。汉武帝此举是为了(  )

A.分化王国力量B.提升儒学地位C.监察地方势力D.拓展统治范围

14.

晓敏同学在百度上搜索主题学习资料,找到以下内容,据此判断她学习的主题是(  )

【外文名】the Silk Road

【开创期】西汉

【终点】大秦(在今地中海地区)

【引进物种】葡萄、石榴、核桃、苜蓿等

A.海上丝绸之路兴盛B.丝绸之路上的交往C.中原物种丰富D.有效管控西域

15.

武帝欲联合大月氏共击匈奴,张骞应募任使者……”结合材料可知,张骞最初出使西域的主要目的(  )

A.引进外来物种B.促进经济交流C.加强友好交往D.寻求军事同盟

16.

坐堂行医 一词源于我国古代一位名医,他写成《伤寒杂病论》,是中医临床理论体系的开创者,被后世称为 医圣 。这位 坐堂医生 是(  )

A.扁鹊B.张仲景C.华佗D.李时珍

17.

东汉宦官蔡伦在中国历史上留有美名,是因为他(  )

A.改进了造纸术B.编制了五禽戏C.著述了纪传体史书D.传播了五斗米道

18.

有人说: 东汉王朝就是在外戚与宦官的打来斗去,皇帝像走马灯似的换来换去的过程中走向灭亡的。 据此可知东汉灭亡的主要原因是(  )

A.东汉中后期外戚与宦官交替专权B.东汉王朝统治者素质偏低C.东汉中后期皇帝大多在位时间短D.被大规模农民起义推翻

19.

北平袁绍,南拒孙刘,青梅煮酒间,问天下英雄有几?因事设奇,唯才是举,铁槊赋诗处,笑人间霸业如何! 这段材料称道的人物应是(  )

A.刘备B.孙权C.诸葛亮D.曹操

20.

下面历史地图(三国鼎立形势图)所反映的阶段特征是(  )
202510071637366817

A.统一多民族国家的建立与巩固B.政权分立与民族融合C.早期国家的出现与社会变革D.中华文明的起源

21.

内乱犹如洪水猛兽,往往会让一个国家、一个民族走向毁灭。西晋时期的内乱表现为(  )

A.春秋五霸B.七国之乱C.八王之乱D.淝水之战

22.

十六国时期,氐族贵族深受汉族文明影响,皇帝苻坚汉文化修养很高。他任用汉人王猛为相,锐意改革;还大力提倡儒学: 行礼于辟雍,祀先师孔子 ,前秦政权出现 英儒毕集 局面。苻坚的做法(  )

A.改革了官员选拔制度B.实现了国家的统一C.完善了儒家思想体系D.有利于民族间融合

23.

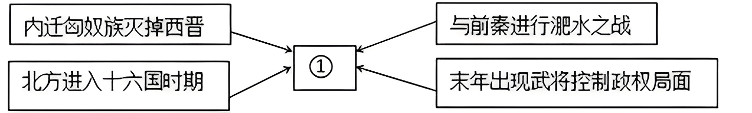
下列思维导图中,空格①处应该填写(  )
202510071637366817

A.第一次人口大迁移B.东晋建立C.祖逖北伐D.刘裕建立宋朝

24.

下图为某时期不同民族之间的通婚统计数据,可用于说明(  )

A.商鞅变法的影响B.诸葛亮治蜀成果C.北魏孝文帝改革D.江南地区的开发

25.

某校同学研究学习一项世界非物质文化遗产,有以下关键词:钟繇、楷书、王羲之、《兰亭集序》、魏碑等,该项非物质文化遗产是(  )

A.书法艺术B.绘画艺术C.雕刻艺术D.舞蹈艺术

二、材料题

26.

阅读材料,回答问题。
材料一 比起春秋时期的争霸战争,战国时期的兼并战争规模也更大。春秋时期的晋楚城濮之战,晋军人数不超过2万,而楚军人数也不会超过4万;而至战国公元前293年,秦将白起打破魏韩联军于伊阙(今河南洛阳附近),斩首就达24万……
材料二 战国时的步兵和骑兵

春秋时期作战方式主要是车战作战一方的车阵一旦被冲乱就很难整顿因此几次大战都是一天之内分胜负。战国时期野战和包围战代替了车战战争也旷日持久有时长达三五年。……为了防备外敌进攻各国在边境修筑了大规模的防御工程其中比较长的成为长城。

(1)据材料一指出战国时期战争的主要特点,据所学说说战国时期战争规模大的主要原因。
(2)据以上材料概括战国时期影响战争结果的主要原因。
(3)总结这一时期战争的积极意义。

27.

汉朝的历史久远、文明富庶,令人神往,阅读表格材料回答问题。
材料一

时间

统治者

措施

西汉初期

让士兵复员生产免除若干年徭役

战争逃亡的人回家恢复原有的田宅

把因饥饿卖身为奴的人释放为平民

减轻赋税田租十五税一

东汉初期

先后下了九道释放奴婢和禁止残害奴婢的命令

减轻赋税田租三十税一;废除王莽时期的苛捐杂税

整顿吏治惩处贪官污吏

(1)写出表格空缺处①、②两位统治者的名字。
(2)据所学总结两位统治者采取以上措施的相同作用。
材料二
202510071637366817
(3)写出材料二道路的名称,并概括这条道路开辟成功的外在条件。

28.

阅读材料探究问题。
材料一 秦始皇推行重农抑商政策,包括以农业生产来评估官吏的表现,以及鼓励开辟荒地,鼓励私田制以增加国家收入。比如前216年,秦始皇下令占有土地的地主和自耕农只要向政府申报土地数额,交纳赋税,其土地所有权就得到政府的承认和保护。
材料二 (三国时期)魏国的马钧改进前代汲水工具制成翻车,便利了农业灌溉。(见下图)
202510071637366817
材料三 贾思勰曾生活的那个年代,南北政局相对稳定,生产得以发展,尤其是北朝几代皇帝都非常重视农业,农业发展更是蒸蒸日上,而且北方由于游牧民族的融入,畜牧业和养殖业也繁荣起来,与汉民族固有的耕种业互相渗透,从而使农业呈现出一种全面的繁荣。
贾思勰每到一处都非常敏锐的觉察到了这种变化,并非常关心各地的农业生产技术,对于好的农业经验及时推广和总结。
(1)说出我国远古时期河姆渡人对于原始农业的主要贡献。
(2)阅读材料一、二,概括两则材料所强调的促进农业发展的侧重点。
(3)据材料三,总结北方农业呈现 全面的繁荣 的主要原因。
(4)据所学,说出 对于好的农业经验及时推广和总结 贾思勰是如何做的。

三、问答题

29.

基础知识问答
(1)列举汉武帝实行的巩固大一统封建王朝的主要措施。
(2)说出与曹操有关的重要战役名称。