2025届湖北省武汉市中考历史试题

适用年级:不限年级 试卷类型:中考真题 适用省份:湖北省 试卷年份:2025年 题数:17 浏览数:374

一、选择题

1.

在四川岷江上有一处世界文化遗产,修建于战国时期。它 深淘滩,低作堰 乘势利导,因时制宜 ,使人、地、水三者协调统一,造福千秋。材料介绍的是(  )

A.都江堰B.大运河C.长城D.灵渠

2.

下图是南北朝时期的马头鹿形金步摇,出土于内蒙古自治区。步摇因其随着人的步伐一步一摇而得名,原本是两汉时期汉族妇女的头饰。鲜卑人南迁后,在与汉人的混居中,他们喜爱上了这种装饰物。这种现象反映了(  )

A.三国鼎立的形成B.江南经济的开发C.民族之间的交融D.水陆交通的进步

3.

七年级开展 图说盛唐气象 活动,小路同学整理出一组图片,该组图片适合用于了解盛唐 (  )
202509260847488317 202509260847488317 202509260847488317

曲辕犁          唐三彩骑驼乐舞俑          唐朝长安城平面图

A.开放的社会风气B.繁荣的社会经济C.多彩的文学艺术D.完善的科举制度

4.

班级开展单元主题学习活动,绘制出如下示意图。他们学习的是(  )
202509260847488317

A.秦汉的国家治理B.隋唐的中外交流C.宋元的科技文化D.明清的小说戏曲

5.

中国近代电讯事业在 自强 求富 中起步。1880年,清政府在天津设立电报总局,同时在上海、苏州等七处设电报分局,开设电报学堂。1884年,上海至汉口的电报线路铺设完成。这得益于(  )

A.洋务运动的开展B.戊戌变法的实行C.实业救国的推动D.中华民国的创建

6.

毛泽东说: 五四 时期,英勇地出现于运动先头的则有数十万的学生。这是五四运动比较辛亥革命进了一步的地方。 之所以五四运动比辛亥革命进步,是因为五四运动(  )

A.标志工人阶级登上历史舞台B.以先进青年知识分子为先锋C.促进马克思主义在中国传播D.推动各族各界群众积极参与

7.

1921年7月的一天傍晚,身着长衫、中山装、西装等不同服装的10多名有志之士,怀着对共产主义的憧憬,从全国各地赶到上海法租界望志路106号(今上海兴业路76号)他们此行的目的是(  )

A.发动二次革命B.参加中共一大C.组织工人运动D.领导北伐战争

8.

东北抗日联军将领杨靖宇被日军包围后,冒着严寒,凭着顽强的意志作战,渴了吃雪,饿了吞树皮。面对侵略者的威逼利诱,他大义凛然,英勇无畏,最后壮烈牺牲。这彰显以杨靖宇为代表的抗战英雄(  )

A.艰苦奋斗、精益求精B.勤俭节约、一丝不苟C.信念坚定、求真务实D.视死如归、宁死不屈

9.

1949年6月,毛泽东发表了一段令全国人民记忆深刻讲话: 中国人民将会看见,中国的命运一经操在人民自己的手里,中国就将如太阳升起在东方那样,以自己的辉煌的光焰普照大地,迅速地荡涤反动政府留下来的污泥浊水,治好战争的创伤。 这段讲话表明这一历史时期的主要任务是(  )

A.筹备成立新中国B.进行抗美援朝C.实施 一五 计划D.完成三大改造

10.

下图反映了我国国内生产总值增长情况。这表明新时代(  )
202509260847488317

A.我国文化领域出现了繁荣的景象B.中国特色大国外交全面推进C.国防和军队改革取得历史性突破D.我国经济建设取得巨大成就

11.

小史同学查阅《世界史·古代史编》,他关注了如下目录(部分),说明他想了解(  )

第二章最初的文明

第一节 ……

……

二 金字塔的建造

……

第二节 两河流域最初的文明

……

五 《汉谟拉比法典》

六 苏美尔·巴比伦文化

A.雅典民主政治B.罗马法制建设C.古代亚非文明D.古代欧洲文明

12.

随着新航路的开辟,欧洲开始出现一种新的商业组织形式——股份公司。它将投资与经营管理、商业活动分开,有利于把分散的资金集中起来,用于进行大规模的海外贸易。这种新的商业组织形式(  )

A.促进了西欧庄园发展B.导致了租地农场出现C.有助于世界市场形成D.引发了资产阶级革命

13.

某班学生在前置学习过程中,查找到这些史料。它可以佐证(  )

领域

概况

人口

1700—1800年间,欧洲人口由1.05亿增长到1.8亿,19世纪达到3.9亿

城市

城市规模越来越大。1801—1851年,巴黎人口猛增近50

教育

19世纪初,德国建立由初等学校、中等学校、大学组成的系统教育体系

A.环境污染问题日益严重B.工业化国家的社会变化C.女性社会地位逐渐提高D.社会贫富分化不断加剧

14.

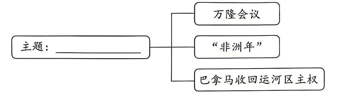
第二次世界大战后,为了捍卫国家主权,发展民族经济,一些国家和地区作出了不懈努力。根据某同学绘制的知识结构图,推断他学习的是(  )
202509260847488317

A.拉丁美洲的独立运动B.社会主义力量的壮大C.走向和平发展的世界D.亚非拉国家的新发展

二、材料题

15.

【毛笔与中华文化】
材料一

仰韶彩陶局部从彩陶上的图纹推测,新石器时代晚期已有了近似毛笔的工具。

甲骨文”(即笔像以手持笔之形。有学者据此推断,殷商时期已经出现毛笔的雏形。

湖北荆门包山战国楚笔毛笔和毛笔套筒将笔毛捆绑后整体纳入笔管,战国时期的这种制作工艺,奠定了我国古代毛笔的基本形制。

——整编自王熙林《毛笔的起源与发展》、马青云《湖笔与中国文化》等

材料二 古今之事,非文莫详;文字之繁,非笔莫纪。毛笔作为中国古代的主要书写工具,发挥着书写文章、传达思想的重要功能。毛笔的柔软性和灵活性使得书画家们得以挥洒自如,展现各种各样的笔法和风格,促进了书法和绘画艺术的发展。毛笔 尖、齐、圆、健 的特点隐含着对人们 仁、义、礼、智 的要求,被赋予了中华优秀传统文化的道德内涵。

——摘编自高玉飞《毛笔在中国传统文化中的重要价值》

材料三 大美江城,笔墨生辉。近日,国家级书法展览首次落地武汉,专家学者以书法为媒,纵论楚文化的率真浪漫。市民、学生和书法名家面对面,开展了 汉上书风 系列活动,让城市浸润墨香,让身处其中的江城百姓共同感受文脉传承之美。

——摘编自《长江日报》

(1)指出材料一所蕴含的历史信息。
(2)根据材料二并结合所学,概括毛笔在中国传统文化中的重要价值。
(3)根据以上材料并结合实际,谈谈你对传承和弘扬中华优秀传统文化的认识。

16.

【民生与伟大成就】
材料一 在农村革命根据地,中国共产党颁布了井冈山《土地法》等法律,广大贫苦农民纷纷获得了土地,生存状况大为改善。根据地政府还积极动员和组织农民群众开展互助合作运动,成立劳动互助社、犁牛合作社。此外,在条件极为艰苦的情况下,根据地政府努力发展文化、教育事业,普遍建立各种学校,着力培养各方面的干部和专门人才。

——摘编自《中国共产党简史》《中国共产党的九十年》

材料二 不同历史时期中国共产党解决民生问题的措施(部分)

时期

主要内容

在敌后根据地推行精兵简政;实行地主减租减息、农民交租交息的土地政策;创办中小学校,推行文字扫盲;改善公共卫生,预防疾病流行

在解放区颁布《中国土地法大纲》,实行耕者有其田,按照农村人口平均分配土地;救济灾荒,扶养老弱贫困

——摘编自《中国共产党的九十年》

材料三 一百年来,中国共产党团结带领中国人民,创造了新民主主义革命的伟大成就,创造了社会主义革命和建设的伟大成就,创造了改革开放和社会主义现代化建设的伟大成就,创造了新时代中国特色社会主义的伟大成就。

——习近平《在庆祝中国共产党成立100周年大会上的讲话》

(1)根据材料一,概括中国共产党改善民生的措施。
(2)根据材料二并结合所学,分别指出甲、乙时期实施这些措施的时代背景。
(3) 江山就是人民,人民就是江山。 根据材料三并结合所学,运用史实说明中国共产党重视民生建设与创造伟大成就的关系。

三、小论文

17.

【变革与社会进步】
某校九年级学生对历史上的重大事件进行整理后,形成下表:

类别

时间

事件

中国历史

1911

武昌起义,辛亥革命爆发

1915

新文化运动开始

1978

中共十一届三中全会召开

20世纪90年代

我国开始实施载人航天工程

世界历史

14世纪17世纪

文艺复兴

18世纪中期——19世纪中期

第一次工业革命

1857

印度民族大起义

1917

俄国十月革命

他们准备开展 变革与社会进步 的主题探究活动,邀请你参与。
活动过程:
(1)依据表格内容,从政治、经济、思想文化、科技某一方面,围绕 变革与社会进步 这一主题提炼一个观点。(要求:观点正确)
(2)从表格中选择两个相关史实论证上述观点的合理性。(要求:史论结合,表述成文)