2024—2025学年度北京市大兴区七年级下学期期末考试

适用年级:七年级 试卷类型:期末考试 适用省份:北京市 试卷年份:2025年 题数:19 浏览数:195

一、选择题

1.

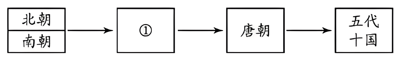
下面是朝代变化示意图。与示意图中①所示朝代对应正确的史实是(  )
202509071746428712

A.定都建康,开发江南B.北魏改革,民族交融C.隋朝统一,创立科举D.辽国建立,创制文字

2.

下图展示了我国古代一项伟大的水利工程。这项工程(  )
202509071746428712
①把成都平原变成时无荒年的天府之国 ②连接了长江和珠江两大水系
③加强了南北地区政治、经济和文化交流 ④有利于国家统一和民族交融

A.①②B.①③C.②③D.③④

3.

下列关于中国历史上著名帝王的对联中,主题人物为唐太宗的是(  )

A.开明君主吸隋训,贞观之治创唐荣B.武周政治得发展,无字之碑任后评C.开元盛世千秋颂,天宝乱离万古嗟D.陈桥兵变成君主,黄袍加身显威风

4.

以下史料共同反映出唐朝(  )

唐戴帷帽女子骑马雕塑


彩绘陶打马球女俑


彩绘仕女弈棋图

A.休养生息的政策B.发达的科学技术C.高超的丝织工艺D.开放的社会风气

5.

赵翼在《廿二史札记》中指出: 五代之乱,朝廷威令不行,藩帅劫财之风,甚于盗贼,强夺枉杀,无复人理。 这段材料反映出(  )

A.唐朝加强了对西域的统治B.五代时期武将专权的危害C.后周世宗实行的改革措施D.宋初实现中原和南方统一

6.

诗歌与谚语可以反映一定的时代特征。以下材料反映出宋朝(  )

神童诗

天子重英豪,文章教尔曹。

万般皆下品,惟有读书高。

……

谚语

做人莫做军,做铁莫做针。

A.与民休息B.政权动荡C.君弱臣强D.崇文抑武

7.

我国古代都城建设独具特色。从下面唐与两宋都城平面示意图中可获取的信息是 (  )
202509071746428712
唐朝长安城平面示意图      北宋东京城平面示意图       南宋临安城平面示意图

A.唐朝的坊是规定的商品交易区B.两宋都城的商业活动突破坊市界限C.两宋都城在布局上都严格对称D.唐和两宋都城的商业地区位置一致

8.

某班开展 中华英雄谱 的项目学习,以下为某组学生整理的资料卡。这位英雄是(  )

文臣不爱钱,武将不惜死,天下太平矣

他统率的部队纪律严明,在郾城大败金军主力
他一生廉洁正直,尽忠报国

A.范仲淹B.王安石C.岳飞D.文天祥

9.

朱熹的《论语集注》于1241年在日本印行,《朱子全书》于1289年传入朝鲜,从此朱熹的思想开始在东亚不断地传播。上述内容反映了东亚地区(  )

A.改进科学技术B.重视农业生产C.受到儒学影响D.抵抗外来侵略

10.

以下是《中国政治制度史》中的一段论述。其中①和②应为(  )

行省的建立有效地防止了分裂,这是秦汉以来的一大发展,是我国的开端,在我国行政区划和地方政治制度史上占有很重要的地位。

A.郡县制 省制B.分封制 郡县制C.省制 分封制D.郡县制 分封制

11.

某班进行 小钱币,大历史 的跨学科主题学习活动。下面是某组同学制作的时间轴,据此可知(  )
202509071746428712

A.纸币出现的原因是文化生活丰富B.纸币出现的时间晚于金属货币C.金属货币与纸币相比更方便携带D.货币重量变化趋势是由轻到重

12.

示意图是学习历史的重要工具。以下示意图反映了(  )
202509071746428712

A.君主专制的强化B.社会矛盾的激化C.选官制度的发展D.对外交往的深入

13.

历史评价是指对历史现象或史实进行态度与价值的评判表述。下列表述属于历史评价的是(  )

A.《资治通鉴》记述了从战国到五代共1300多年的历史B.明朝科举考试对考试答卷的文体格式、段落划分以及文意,都有严格规定
C.一条鞭法缓和了社会矛盾,增强了国家财政实力,取得了积极成效D.1662年,郑成功发动总攻,荷兰殖民者投降,台湾回到祖国怀抱

14.

以下是某同学搜集的一组材料。他研究的主题是清朝的(  )

1、顺治时期颁布的禁海令

2、乾隆年间颁布的《防范外夷规条》

31759年,英商状告广东通商官员,希望冲破一口通商贸易束缚

A.闭关政策B.农业生产C.土地兼并D.文字狱

15.

下图展示了清朝中期的人口数量与人均耕地面积。对该图理解正确的是(  )
202509071746428712
①手工工场规模扩大 ②人口数量持续增长 ③人均耕地面积减少 ④人地矛盾日益突出

A.①②③B.①②④C.①③④D.②③④

16.

以下是某历史兴趣小组举办主题展的一组展品。这场展览的主题是(  )
202509071746428712

《唐诗宋词》         《窦娥冤》插图           《红楼梦》            京剧脸谱

A.中国古代绘画的传承B.中国古代文学艺术的发展C.中外经济文化的交流D.中国古代儒家思想的演变

二、综合题

17.

史料·史实·史论。
材料一 史料是人们了解过去、认识历史的重要依据和基础。迄今为止,人们所能认识并可以搜集、运用的史料有文献、实物、口述、图像等类别。

《步辇图》局部唐朝阎立本绘制,描绘了唐太宗接见松赞干布派来的求婚使者的场景

酱釉马镫壶北京通州辽代墓葬出土,该壶用北宋定窑技术烧制

宣政院印宣政院管理全国宗教和西藏地区军政事务

④(永乐九年春,特遣内官亦失哈等率官军一千余人、巨船二十五艘,复至其国,开设奴儿干都司。——《永宁寺记》碑文

《五世达赖觐见顺治皇帝图》壁画,位于布达拉宫红宫的西大殿

材料二 宋神宗熙宁年间,北宋从辽国进口大量的羊匹等牲畜,羊的进口促进了北宋畜牧业的发展,羊肉也出现在大宋百姓的餐桌上;辽国草原广阔,马匹众多,因此宋从辽手中购置马匹等军事装备来增强军队战斗力。 河北东路民富桑麻 ,辽人便大量购买绢匹。另外,《宋史》中还记载了香药、犀角、茶等物品的榷务贸易,辽方则购入银钱、布、牲畜等刚需物品。

——摘编自曹雪斐《试论北宋与辽国的霸州榷场贸易》

材料三

序号

史实

唐朝先后设置安西都护府和北庭都护府,管辖西域的天山南北地区

元朝统治者在澎湖设置巡检司

1561年,倭寇大举侵犯浙江,戚继光率军作战,平定了浙东地区的倭患

17世纪中期,俄国势力侵入我国黑龙江流域。康熙皇帝两次击败俄军,后中俄签订《尼布楚条约》,明确了黑龙江和乌苏里江流域包括库页岛在内的广大地区,都是中国领土

康熙时,新疆天山北路的蒙古族准噶尔部首领噶尔丹发动叛乱。康熙帝三次率军亲征,打败噶尔丹

18世纪,回部上层贵族大、小和卓发动叛乱。乾隆帝调兵讨伐,在维吾尔等族人民的支持下平定了叛乱

(1)将材料一中的史料进行分类。(写序号,多选、少选、错选不得分) 任选一则史料,谈谈其研究价值。(示例除外)
实物史料:______________文献史料:______________图像史料:______________
示例:②
酱釉马镫壶可用于研究当时陶瓷制作技术、契丹族与中原民族之间的文化交流和民族交融。
(2)依据材料二并结合所学,概括北宋与辽国榷场贸易的特点,并分析榷场贸易的影响。
(3)将材料三的史实与以下结论相对应。(填序号)
________、 属于平定内部叛乱的战争;
________、 属于抗击外来侵略的战争;
________、 ② 属于国家设置行政机构,加强对地方的管辖。

18.

交通·交往·交流。
材料一

人物

主要事迹

人物

主要事迹

A

西行天竺,研习佛法。他沿途的见闻被记录成书

B

东渡日本,传授佛法,还将中国的医药、文学、书法、建筑、绘画等传播到日本

202509071746428712

唐朝交通路线图

材料二
202509071746428712

宋代海路交通路线图

宋朝与西域、中亚的陆路交通被阻断。在宋朝政府的鼓励下,外国使者和商人来中国贸易的日益增多。由于航海技术和造船技术的不断改进,海外交通更加发达,海外贸易更加频繁。

——摘编自申海田、张明锋《宋元时期海外交通考析》等

材料三 郑和下西洋资料(部分)

时间

1405—1433

次数

7

船数

最多时有船200多艘

人数

首次出海人数有27000多人

范围

到达亚非30多个国家和地区

郑和赠给海外诸国以书籍,传播了中国文化。他教马六甲人迁居陆上、学习耕种、掘土打井。他教爪哇人用牛耕地、种稻谷。他还把中国渔民使用的渔网和捕鱼技术,传授给印度半岛的渔民。郑和船队也为国人带回了海外农业生产的有益经验。

——摘编自邹振环《郑和下西洋与郑和大交换》等

(1)依据材料一并结合所学,将A.B处填写完整,并概括唐朝对外交往的特点。
(2)依据材料二,对以下表述作出判断:正确的在括号内填写 正确 ,错误的在括号内填写 错误
①宋朝与西域、中亚的陆路交通非常发达。( )
②宋朝的海路形成了多条航线。( )
③宋朝政府重视海外贸易。( )
④宋朝航海技术和造船技术进步。( )
(3)依据材料三并结合所学,概括郑和下西洋的特点,分析郑和下西洋的影响。

19.

某历史社团以 探寻中国古代科技文化成就 为主题展开学习,设计以下学习任务。
材料一

1   A 示意图

2  筒车图

3  王祯《农书》中描绘的农民坐在秧马上劳作的情形

材料二

主题

_______________________

成就

汉朝造纸工艺流程想象图

宋代持罗盘的立人陶俑

泥活字版模型

元朝火铳

材料三

中国古代重要科技文化成就部分

序号

时期

内容

南北朝

贾思勰撰写的《齐民要术》是我国现存最早的一部完整的农书

唐朝

唐高宗时编修的《唐本草》,是世界上第一部由国家编定颁布的药典

北宋

沈括创制了先进的历法十二气历。他把四季的二十四节气和十二个月完全统一起来,有利于农事安排

元朝

郭守敬主持在全国范围内天文测量,编成新的历法《授时历》。《授时历》对指导农业生产有很大帮助

明朝

李时珍编写的 A 是一部规模空前的药物学著作。这部巨著图文并茂,收录的药物、药方种类繁多,采取了科学的分类方法

明朝

徐光启所著的 B 是一部重要的农业科学巨著。这部著作总结了我国古代农业生产的先进经验、技术革新和作者关于农学的创新研究成果

明朝

明朝建立以后,为了防御北方蒙古族南扰,先后多次修筑长城,形成一个完整的军事防御体系

明清

北京城由一条中轴线纵贯南北,从宫城到外城以中轴线对称展开,形成了布局均衡、完整和谐的巨大建筑群

(1)依据材料一并结合所学,将A处填写完整,(填序号)概括以上生产工具的发明和推广对农业发展的作用。
①骨耜 ②耧车 ③翻车 ④曲辕犁
(2)依据材料二并结合所学,概括上述展览的主题, 任选一项成就分析其影响。
(3)依据材料三并结合所学,将A.B处填写完整。(填序号) 任选两项成就,填写表格。(示例除外)
①《农政全书》 ②《本草纲目》
示例:

成就

领域

贡献

③④

天文学

均为天文历法的进步,对农业生产的发展具有推动作用